ПОРТФЕЛЬ
Підручники
Д
омашні
з
авдання
ДЗ
3 клас
Математика
Бевз 2020 рік
Частина 2. Номер 205
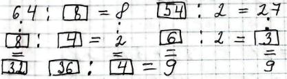
Які числа мають стояти в порожніх квадратиках?
Розв’язання
Повідомити про помилку
« Назад
Вперед »
Частина 2. Номер 201
Частина 2. Номер 202
Частина 2. Номер 203
Частина 2. Номер 204
Частина 2. Номер 205
Частина 2. Номер 206
Частина 2. Номер 207
Частина 2. Номер 208
Частина 2. Номер 209
Повідомити про помилку
×
Текст повідомлення*
Cтoлиця Уkpaїни?*
Надіслати