ПОРТФЕЛЬ
Домашні завдання
Підручники
ДЗ
5 клас
Математика
Мерзляк (збірник задач і контрольних робіт) 2013 рік
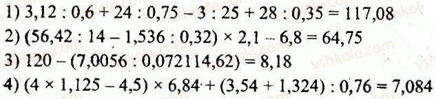
Варіант 4. Номер 242
Варіант 4. Номер 242
Повідомити про помилку
« Назад
Вперед »
Варіант 4. Номер 238
Варіант 4. Номер 239
Варіант 4. Номер 240
Варіант 4. Номер 241
Варіант 4. Номер 242
Варіант 4. Номер 243
Варіант 4. Номер 244
Варіант 4. Номер 245
Варіант 4. Номер 246
Повідомити про помилку
×
Текст повідомлення*
Cтoлиця Уkpaїни?*
Надіслати