ПОРТФЕЛЬ
Підручники
Д
омашні
з
авдання
ДЗ
7 клас
Алгебра
Мерзляк 2020 рік
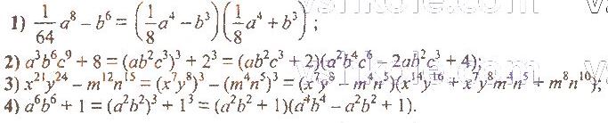
Номер 1313
Повідомити про помилку
« Назад
Вперед »
Номер 1309
Номер 1310
Номер 1311
Номер 1312
Номер 1313
Номер 1314
Номер 1315
Номер 1316
Номер 1317
Повідомити про помилку
×
Текст повідомлення*
Cтoлиця Уkpaїни?*
Надіслати