ПОРТФЕЛЬ
Підручники
Д
омашні
з
авдання
ДЗ
7 клас
Алгебра
Мерзляк 2020 рік
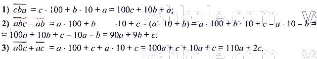
Номер 360
Повідомити про помилку
« Назад
Вперед »
Номер 356
Номер 357
Номер 358
Номер 359
Номер 360
Номер 361
Номер 362
Номер 363
Номер 364
Повідомити про помилку
×
Текст повідомлення*
Cтoлиця Уkpaїни?*
Надіслати