ПОРТФЕЛЬ
Підручники
Д
омашні
з
авдання
ДЗ
7 клас
Алгебра
Мерзляк 2020 рік
Номер 509
Повідомити про помилку
« Назад
Вперед »
Номер 505
Номер 506
Номер 507
Номер 508
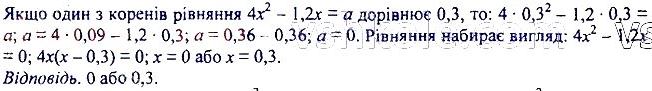
Номер 509
Номер 510
Номер 511
Номер 512
Номер 513
Повідомити про помилку
×
Текст повідомлення*
Cтoлиця Уkpaїни?*
Надіслати