ПОРТФЕЛЬ
Підручники
Д
омашні
з
авдання
ДЗ
8 клас
Алгебра
Мерзляк 2021 рік
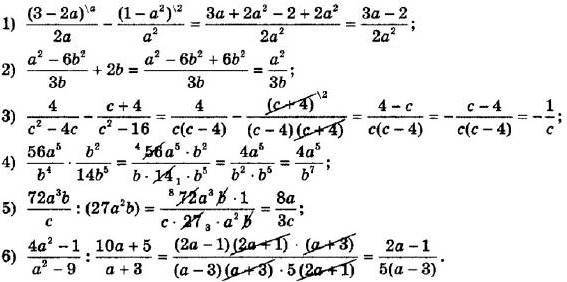
Номер 626
Повідомити про помилку
« Назад
Вперед »
Номер 622
Номер 623
Номер 624
Номер 625
Номер 626
Номер 627
Номер 628
Номер 629
Номер 630
Повідомити про помилку
×
Текст повідомлення*
Cтoлиця Уkpaїни?*
Надіслати