ПОРТФЕЛЬ
Домашні завдання
Підручники
ДЗ
8 клас
Алгебра
Мерзляк 2021 рік
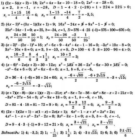
Номер 638
Номер 638
Повідомити про помилку
« Назад
Вперед »
Номер 634
Номер 635
Номер 636
Номер 637
Номер 638
Номер 639
Номер 640
Номер 641
Номер 642
Повідомити про помилку
×
Текст повідомлення*
Cтoлиця Уkpaїни?*
Надіслати