ПОРТФЕЛЬ
Домашні завдання
Підручники
ДЗ
8 клас
Алгебра
Мерзляк 2021 рік
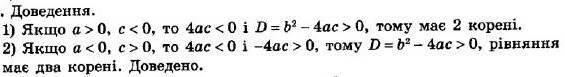
Номер 655
Номер 655
Повідомити про помилку
« Назад
Вперед »
Номер 651
Номер 652
Номер 653
Номер 654
Номер 655
Номер 656
Номер 657
Номер 658
Номер 659
Повідомити про помилку
×
Текст повідомлення*
Cтoлиця Уkpaїни?*
Надіслати