ПОРТФЕЛЬ
Підручники
Д
омашні
з
авдання
ДЗ
8 клас
Алгебра
Мерзляк 2021 рік
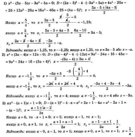
Номер 669
Повідомити про помилку
« Назад
Вперед »
Номер 665
Номер 666
Номер 667
Номер 668
Номер 669
Номер 670
Номер 671
Номер 672
Номер 673
Повідомити про помилку
×
Текст повідомлення*
Cтoлиця Уkpaїни?*
Надіслати