ПОРТФЕЛЬ
Підручники
Д
омашні
з
авдання
ДЗ
8 клас
Алгебра
Мерзляк 2021 рік
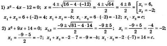
Номер 677
Повідомити про помилку
« Назад
Вперед »
Номер 673
Номер 674
Номер 675
Номер 676
Номер 677
Номер 678
Номер 679
Номер 680
Номер 681
Повідомити про помилку
×
Текст повідомлення*
Cтoлиця Уkpaїни?*
Надіслати