ПОРТФЕЛЬ
Підручники
Д
омашні
з
авдання
ДЗ
8 клас
Алгебра
Мерзляк 2021 рік
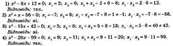
Номер 684
Повідомити про помилку
« Назад
Вперед »
Номер 680
Номер 681
Номер 682
Номер 683
Номер 684
Номер 685
Номер 686
Номер 687
Номер 688
Повідомити про помилку
×
Текст повідомлення*
Cтoлиця Уkpaїни?*
Надіслати