ПОРТФЕЛЬ
Підручники
Д
омашні
з
авдання
ДЗ
8 клас
Алгебра
Мерзляк 2021 рік
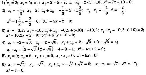
Номер 688
Повідомити про помилку
« Назад
Вперед »
Номер 684
Номер 685
Номер 686
Номер 687
Номер 688
Номер 689
Номер 690
Номер 691
Номер 692
Повідомити про помилку
×
Текст повідомлення*
Cтoлиця Уkpaїни?*
Надіслати