ПОРТФЕЛЬ
Підручники
Д
омашні
з
авдання
ДЗ
8 клас
Алгебра
Мерзляк 2021 рік
Номер 693
Повідомити про помилку
« Назад
Вперед »
Номер 689
Номер 690
Номер 691
Номер 692
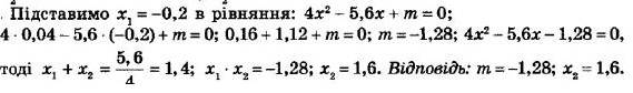
Номер 693
Номер 694
Номер 695
Номер 696
Номер 697
Повідомити про помилку
×
Текст повідомлення*
Cтoлиця Уkpaїни?*
Надіслати