ПОРТФЕЛЬ
Домашні завдання
Підручники
ДЗ
8 клас
Алгебра
Мерзляк 2021 рік
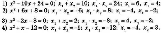
Номер 698
Номер 698
Повідомити про помилку
« Назад
Вперед »
Номер 694
Номер 695
Номер 696
Номер 697
Номер 698
Номер 699
Номер 700
Номер 701
Номер 702
Повідомити про помилку
×
Текст повідомлення*
Cтoлиця Уkpaїни?*
Надіслати