ПОРТФЕЛЬ
Підручники
Д
омашні
з
авдання
ДЗ
8 клас
Алгебра
Мерзляк 2021 рік
Номер 701
Повідомити про помилку
« Назад
Вперед »
Номер 697
Номер 698
Номер 699
Номер 700
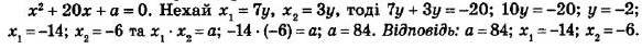
Номер 701
Номер 702
Номер 703
Номер 704
Номер 705
Повідомити про помилку
×
Текст повідомлення*
Cтoлиця Уkpaїни?*
Надіслати