ПОРТФЕЛЬ
Підручники
Д
омашні
з
авдання
ДЗ
8 клас
Алгебра
Мерзляк 2021 рік
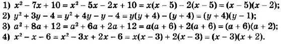
Номер 724
Повідомити про помилку
« Назад
Вперед »
Номер 720
Номер 721
Номер 722
Номер 723
Номер 724
Номер 725
Номер 726
Номер 727
Номер 728
Повідомити про помилку
×
Текст повідомлення*
Cтoлиця Уkpaїни?*
Надіслати