ПОРТФЕЛЬ
Підручники
Д
омашні
з
авдання
ДЗ
8 клас
Алгебра
Мерзляк 2021 рік
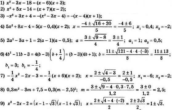
Номер 729
Повідомити про помилку
« Назад
Вперед »
Номер 725
Номер 726
Номер 727
Номер 728
Номер 729
Номер 730
Номер 731
Номер 732
Номер 733
Повідомити про помилку
×
Текст повідомлення*
Cтoлиця Уkpaїни?*
Надіслати