ПОРТФЕЛЬ
Підручники
Д
омашні
з
авдання
ДЗ
8 клас
Алгебра
Мерзляк 2021 рік
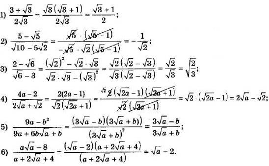
Номер 744
Повідомити про помилку
« Назад
Вперед »
Номер 740
Номер 741
Номер 742
Номер 743
Номер 744
Номер 745
Номер 746
Номер 747
Номер 748
Повідомити про помилку
×
Текст повідомлення*
Cтoлиця Уkpaїни?*
Надіслати