ПОРТФЕЛЬ
Підручники
Д
омашні
з
авдання
ДЗ
8 клас
Алгебра
Мерзляк 2021 рік
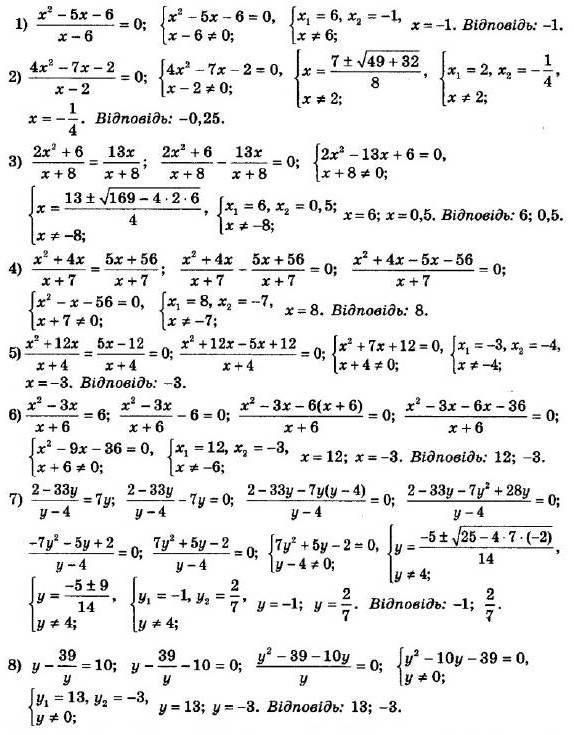
Номер 753
Повідомити про помилку
« Назад
Вперед »
Номер 749
Номер 750
Номер 751
Номер 752
Номер 753
Номер 754
Номер 755
Номер 756
Номер 757
Повідомити про помилку
×
Текст повідомлення*
Cтoлиця Уkpaїни?*
Надіслати