ПОРТФЕЛЬ
Підручники
Д
омашні
з
авдання
ДЗ
8 клас
Алгебра
Мерзляк 2021 рік
Номер 756
Повідомити про помилку
« Назад
Вперед »
Номер 752
Номер 753
Номер 754
Номер 755
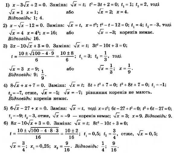
Номер 756
Номер 757
Номер 758
Номер 759
Номер 760
Повідомити про помилку
×
Текст повідомлення*
Cтoлиця Уkpaїни?*
Надіслати