ПОРТФЕЛЬ
Домашні завдання
Підручники
ДЗ
8 клас
Алгебра
Мерзляк 2021 рік
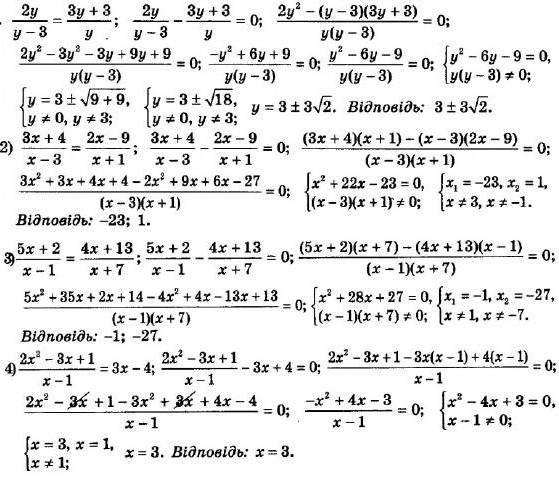
Номер 760
Номер 760
Повідомити про помилку
« Назад
Вперед »
Номер 756
Номер 757
Номер 758
Номер 759
Номер 760
Номер 761
Номер 762
Номер 763
Номер 764
Повідомити про помилку
×
Текст повідомлення*
Cтoлиця Уkpaїни?*
Надіслати