ПОРТФЕЛЬ
Підручники
Д
омашні
з
авдання
ДЗ
8 клас
Алгебра
Мерзляк 2021 рік
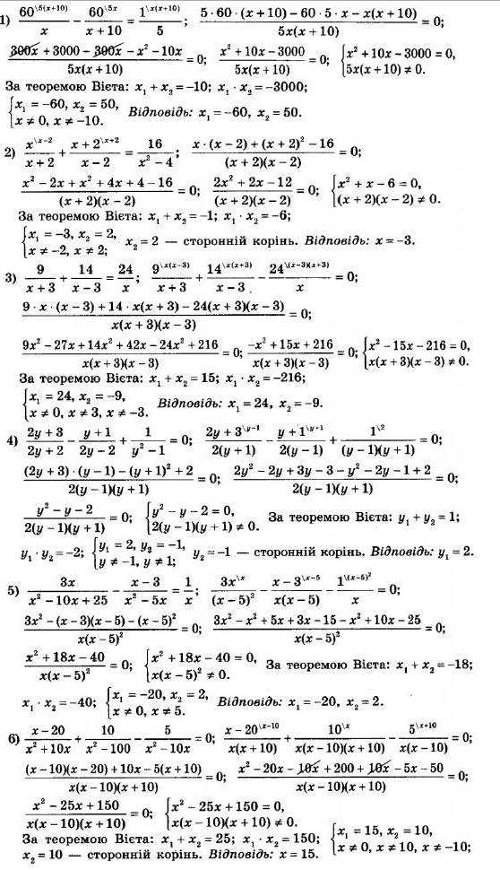
Номер 763
Повідомити про помилку
« Назад
Вперед »
Номер 759
Номер 760
Номер 761
Номер 762
Номер 763
Номер 764
Номер 765
Номер 766
Номер 767
Повідомити про помилку
×
Текст повідомлення*
Cтoлиця Уkpaїни?*
Надіслати