ПОРТФЕЛЬ
Домашні завдання
Підручники
ДЗ
8 клас
Алгебра
Мерзляк 2021 рік
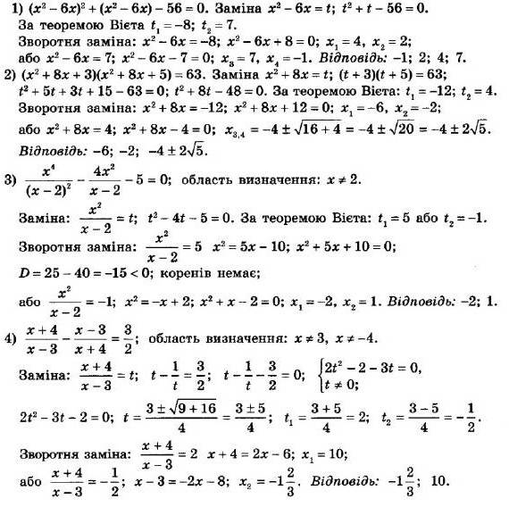
Номер 770
Номер 770
Повідомити про помилку
« Назад
Вперед »
Номер 766
Номер 767
Номер 768
Номер 769
Номер 770
Номер 771
Номер 772
Номер 773
Номер 774
Повідомити про помилку
×
Текст повідомлення*
Cтoлиця Уkpaїни?*
Надіслати