ПОРТФЕЛЬ
Домашні завдання
Підручники
ДЗ
8 клас
Алгебра
Мерзляк 2021 рік
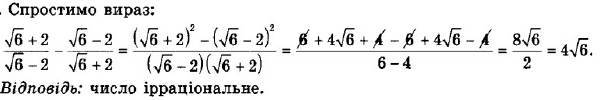
Номер 774
Номер 774
Повідомити про помилку
« Назад
Вперед »
Номер 770
Номер 771
Номер 772
Номер 773
Номер 774
Номер 775
Номер 776
Номер 777
Номер 778
Повідомити про помилку
×
Текст повідомлення*
Cтoлиця Уkpaїни?*
Надіслати