ПОРТФЕЛЬ
Домашні завдання
Підручники
ДЗ
8 клас
Алгебра
Мерзляк 2021 рік
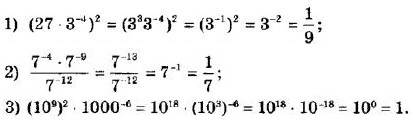
Номер 807
Номер 807
Повідомити про помилку
« Назад
Вперед »
Номер 803
Номер 804
Номер 805
Номер 806
Номер 807
Номер 808
Номер 809
Номер 810
Номер 811
Повідомити про помилку
×
Текст повідомлення*
Cтoлиця Уkpaїни?*
Надіслати