ПОРТФЕЛЬ
Підручники
Д
омашні
з
авдання
ДЗ
8 клас
Алгебра
Мерзляк 2021 рік
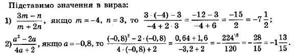
Номер 814
Повідомити про помилку
« Назад
Вперед »
Номер 810
Номер 811
Номер 812
Номер 813
Номер 814
Номер 815
Номер 816
Номер 817
Номер 818
Повідомити про помилку
×
Текст повідомлення*
Cтoлиця Уkpaїни?*
Надіслати