ПОРТФЕЛЬ
Підручники
Д
омашні
з
авдання
ДЗ
8 клас
Алгебра
Мерзляк 2021 рік
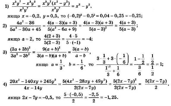
Номер 819
Повідомити про помилку
« Назад
Вперед »
Номер 815
Номер 816
Номер 817
Номер 818
Номер 819
Номер 820
Номер 821
Номер 822
Номер 823
Повідомити про помилку
×
Текст повідомлення*
Cтoлиця Уkpaїни?*
Надіслати