ПОРТФЕЛЬ
Домашні завдання
Підручники
ДЗ
8 клас
Алгебра
Мерзляк 2021 рік
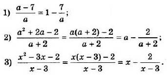
Номер 827
Номер 827
Повідомити про помилку
« Назад
Вперед »
Номер 823
Номер 824
Номер 825
Номер 826
Номер 827
Номер 828
Номер 829
Номер 830
Номер 831
Повідомити про помилку
×
Текст повідомлення*
Cтoлиця Уkpaїни?*
Надіслати