ПОРТФЕЛЬ
Підручники
Д
омашні
з
авдання
ДЗ
8 клас
Алгебра
Мерзляк 2021 рік
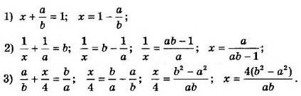
Номер 830
Повідомити про помилку
« Назад
Вперед »
Номер 826
Номер 827
Номер 828
Номер 829
Номер 830
Номер 831
Номер 832
Номер 833
Номер 834
Повідомити про помилку
×
Текст повідомлення*
Cтoлиця Уkpaїни?*
Надіслати