ПОРТФЕЛЬ
Домашні завдання
Підручники
ДЗ
8 клас
Алгебра
Мерзляк 2021 рік
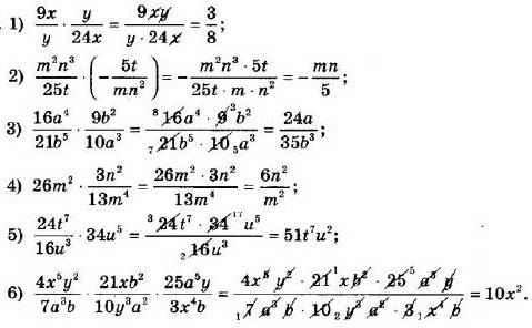
Номер 834
Номер 834
Повідомити про помилку
« Назад
Вперед »
Номер 830
Номер 831
Номер 832
Номер 833
Номер 834
Номер 835
Номер 836
Номер 837
Номер 838
Повідомити про помилку
×
Текст повідомлення*
Cтoлиця Уkpaїни?*
Надіслати