ПОРТФЕЛЬ
Підручники
Д
омашні
з
авдання
ДЗ
8 клас
Алгебра
Мерзляк 2021 рік
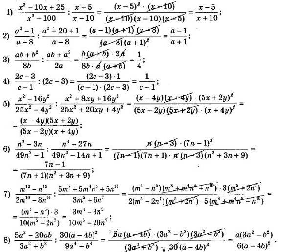
Номер 837
Повідомити про помилку
« Назад
Вперед »
Номер 833
Номер 834
Номер 835
Номер 836
Номер 837
Номер 838
Номер 839
Номер 840
Номер 841
Повідомити про помилку
×
Текст повідомлення*
Cтoлиця Уkpaїни?*
Надіслати