ПОРТФЕЛЬ
Підручники
Д
омашні
з
авдання
ДЗ
8 клас
Алгебра
Мерзляк 2021 рік
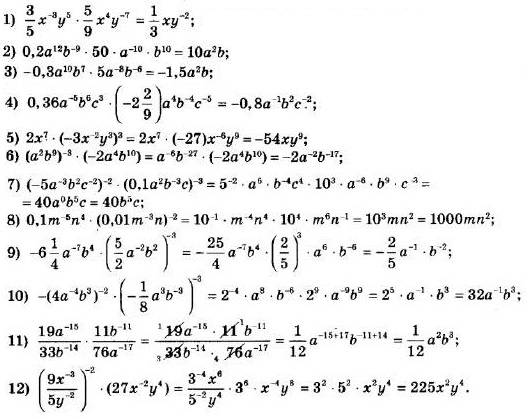
Номер 852
Повідомити про помилку
« Назад
Вперед »
Номер 848
Номер 849
Номер 850
Номер 851
Номер 852
Номер 853
Номер 854
Номер 855
Номер 856
Повідомити про помилку
×
Текст повідомлення*
Cтoлиця Уkpaїни?*
Надіслати