ПОРТФЕЛЬ
Домашні завдання
Підручники
ДЗ
8 клас
Алгебра
Мерзляк 2021 рік
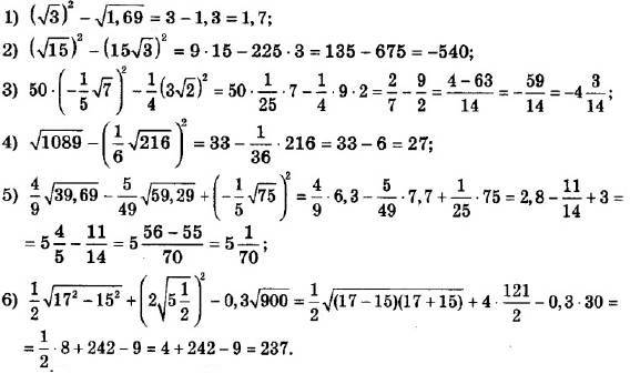
Номер 864
Номер 864
Повідомити про помилку
« Назад
Вперед »
Номер 860
Номер 861
Номер 862
Номер 863
Номер 864
Номер 865
Номер 866
Номер 867
Номер 868
Повідомити про помилку
×
Текст повідомлення*
Cтoлиця Уkpaїни?*
Надіслати