ПОРТФЕЛЬ
Домашні завдання
Підручники
ДЗ
8 клас
Алгебра
Мерзляк 2021 рік
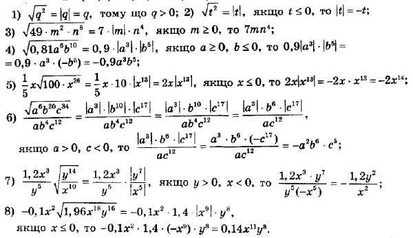
Номер 870
Номер 870
Повідомити про помилку
« Назад
Вперед »
Номер 866
Номер 867
Номер 868
Номер 869
Номер 870
Номер 871
Номер 872
Номер 873
Номер 881
Повідомити про помилку
×
Текст повідомлення*
Cтoлиця Уkpaїни?*
Надіслати