ПОРТФЕЛЬ
Підручники
Д
омашні
з
авдання
ДЗ
8 клас
Алгебра
Мерзляк 2021 рік
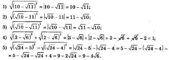
Номер 871
Повідомити про помилку
« Назад
Вперед »
Номер 867
Номер 868
Номер 869
Номер 870
Номер 871
Номер 872
Номер 873
Номер 881
Номер 882
Повідомити про помилку
×
Текст повідомлення*
Cтoлиця Уkpaїни?*
Надіслати