ПОРТФЕЛЬ
Домашні завдання
Підручники
ДЗ
8 клас
Алгебра
Мерзляк 2021 рік
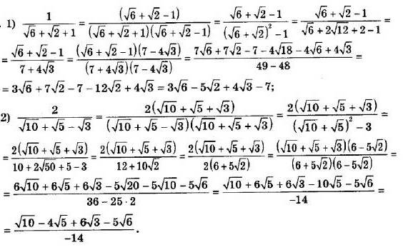
Номер 882
Номер 882
Повідомити про помилку
« Назад
Вперед »
Номер 871
Номер 872
Номер 873
Номер 881
Номер 882
Номер 883
Номер 884
Номер 885
Номер 886
Повідомити про помилку
×
Текст повідомлення*
Cтoлиця Уkpaїни?*
Надіслати