ПОРТФЕЛЬ
Підручники
Д
омашні
з
авдання
ДЗ
8 клас
Алгебра
Мерзляк 2021 рік
Номер 884
Повідомити про помилку
« Назад
Вперед »
Номер 873
Номер 881
Номер 882
Номер 883
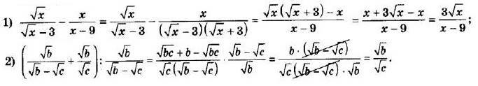
Номер 884
Номер 885
Номер 886
Номер 887
Номер 888
Повідомити про помилку
×
Текст повідомлення*
Cтoлиця Уkpaїни?*
Надіслати