ПОРТФЕЛЬ
Підручники
Д
омашні
з
авдання
ДЗ
8 клас
Алгебра
Мерзляк 2021 рік
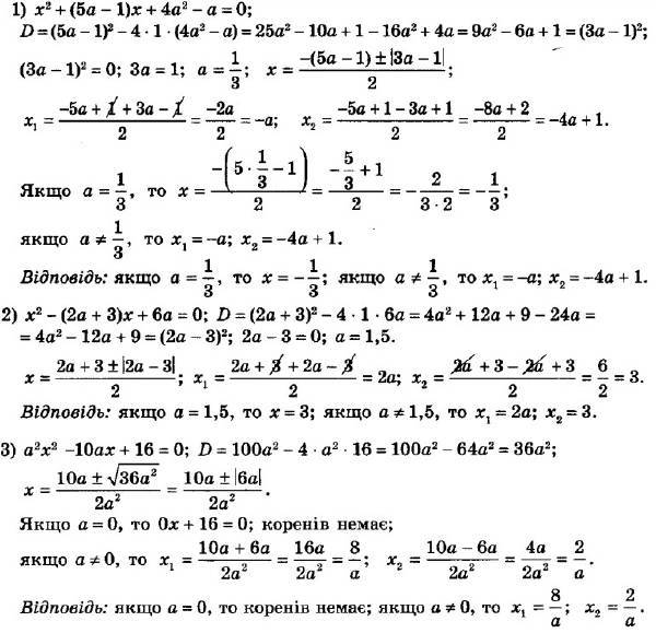
Номер 895
Повідомити про помилку
« Назад
Вперед »
Номер 891
Номер 892
Номер 893
Номер 894
Номер 895
Номер 896
Номер 897
Номер 898
Номер 899
Повідомити про помилку
×
Текст повідомлення*
Cтoлиця Уkpaїни?*
Надіслати