ПОРТФЕЛЬ
Підручники
Д
омашні
з
авдання
ДЗ
8 клас
Алгебра
Мерзляк (поглиблене вивчення) 2021 рік
Номер 1.46
Повідомити про помилку
« Назад
Вперед »
Номер 1.42
Номер 1.43
Номер 1.44
Номер 1.45
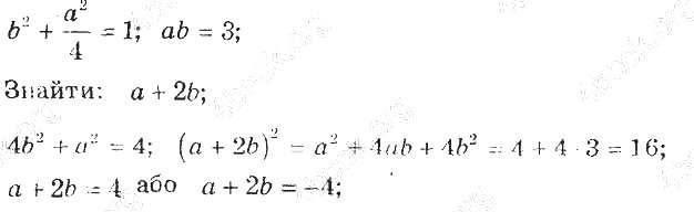
Номер 1.46
Номер 1.47
Номер 1.48
Номер 1.49
Номер 1.50
Повідомити про помилку
×
Текст повідомлення*
Cтoлиця Уkpaїни?*
Надіслати