ПОРТФЕЛЬ
Домашні завдання
Підручники
ДЗ
8 клас
Алгебра
Мерзляк (поглиблене вивчення) 2021 рік
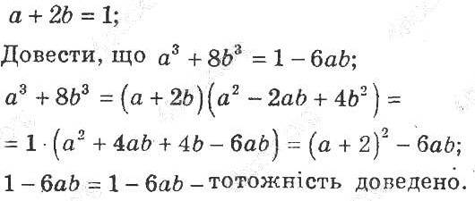
Номер 1.52
Номер 1.52
Повідомити про помилку
« Попередня
Наступна »
Номер 1.48
Номер 1.49
Номер 1.50
Номер 1.51
Номер 1.52
Номер 1.53
Номер 1.54
Номер 1.55
Номер 1.56
Повідомити про помилку
×
Текст повідомлення*
Cтoлиця Уkpaїни?*
Надіслати