ПОРТФЕЛЬ
Підручники
Д
омашні
з
авдання
ДЗ
8 клас
Алгебра
Мерзляк (поглиблене вивчення) 2021 рік
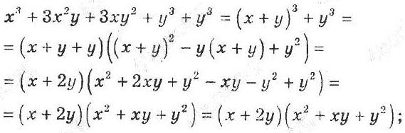
Номер 1.54
Повідомити про помилку
« Назад
Вперед »
Номер 1.50
Номер 1.51
Номер 1.52
Номер 1.53
Номер 1.54
Номер 1.55
Номер 1.56
Номер 1.57
Номер 1.58
Повідомити про помилку
×
Текст повідомлення*
Cтoлиця Уkpaїни?*
Надіслати