ПОРТФЕЛЬ
Підручники
Д
омашні
з
авдання
ДЗ
8 клас
Алгебра
Мерзляк (поглиблене вивчення) 2021 рік
Номер 1.59
Повідомити про помилку
« Назад
Вперед »
Номер 1.55
Номер 1.56
Номер 1.57
Номер 1.58
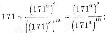
Номер 1.59
Номер 1.60
Номер 1.61
Номер 1.62
Номер 1.63
Повідомити про помилку
×
Текст повідомлення*
Cтoлиця Уkpaїни?*
Надіслати