ПОРТФЕЛЬ
Підручники
Д
омашні
з
авдання
ДЗ
8 клас
Алгебра
Мерзляк (поглиблене вивчення) 2021 рік
Номер 1.62
Повідомити про помилку
« Назад
Вперед »
Номер 1.58
Номер 1.59
Номер 1.60
Номер 1.61
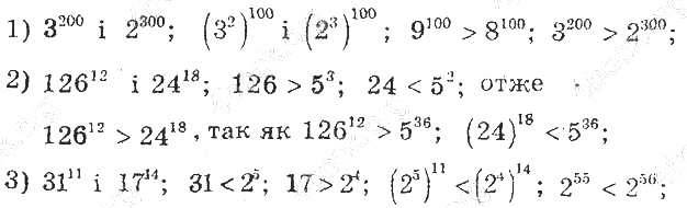
Номер 1.62
Номер 1.63
Номер 1.64
Номер 1.65
Номер 1.66
Повідомити про помилку
×
Текст повідомлення*
Cтoлиця Уkpaїни?*
Надіслати