ПОРТФЕЛЬ
Підручники
Д
омашні
з
авдання
ДЗ
8 клас
Алгебра
Мерзляк (поглиблене вивчення) 2021 рік
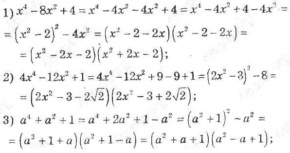
Номер 1.72
Повідомити про помилку
« Назад
Вперед »
Номер 1.68
Номер 1.69
Номер 1.70
Номер 1.71
Номер 1.72
Номер 1.73
Номер 1.74
Номер 1.75
Номер 1.76
Повідомити про помилку
×
Текст повідомлення*
Cтoлиця Уkpaїни?*
Надіслати