ПОРТФЕЛЬ
Підручники
Д
омашні
з
авдання
ДЗ
8 клас
Алгебра
Мерзляк (поглиблене вивчення) 2021 рік
Номер 1.75
Повідомити про помилку
« Назад
Вперед »
Номер 1.71
Номер 1.72
Номер 1.73
Номер 1.74
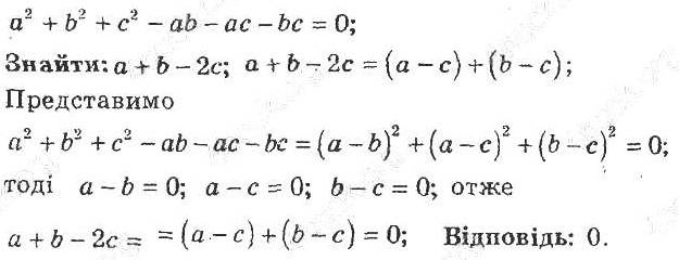
Номер 1.75
Номер 1.76
Номер 1.77
Номер 1.78
Номер 1.79
Повідомити про помилку
×
Текст повідомлення*
Cтoлиця Уkpaїни?*
Надіслати