ПОРТФЕЛЬ
Підручники
Д
омашні
з
авдання
ДЗ
8 клас
Алгебра
Мерзляк (поглиблене вивчення) 2021 рік
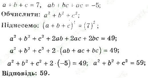
Номер 1.78
Повідомити про помилку
« Назад
Вперед »
Номер 1.74
Номер 1.75
Номер 1.76
Номер 1.77
Номер 1.78
Номер 1.79
Номер 1.80
Номер 1.81
Номер 1.82
Повідомити про помилку
×
Текст повідомлення*
Cтoлиця Уkpaїни?*
Надіслати