ПОРТФЕЛЬ
Підручники
Д
омашні
з
авдання
ДЗ
8 клас
Алгебра
Мерзляк (поглиблене вивчення) 2021 рік
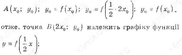
Номер 2.25
Повідомити про помилку
« Назад
Вперед »
Номер 2.21
Номер 2.22
Номер 2.23
Номер 2.24
Номер 2.25
Номер 2.26
Номер 2.27
Номер 2.28
Номер 2.29
Повідомити про помилку
×
Текст повідомлення*
Cтoлиця Уkpaїни?*
Надіслати