ПОРТФЕЛЬ
Підручники
Д
омашні
з
авдання
ДЗ
8 клас
Алгебра
Мерзляк (поглиблене вивчення) 2021 рік
Номер 2.29
Повідомити про помилку
« Назад
Вперед »
Номер 2.25
Номер 2.26
Номер 2.27
Номер 2.28
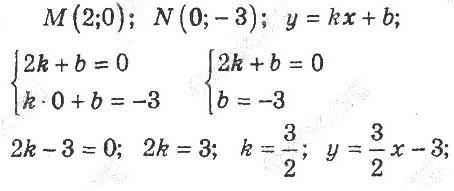
Номер 2.29
Номер 2.30
Номер 2.31
Номер 2.32
Номер 2.33
Повідомити про помилку
×
Текст повідомлення*
Cтoлиця Уkpaїни?*
Надіслати