ПОРТФЕЛЬ
Підручники
Д
омашні
з
авдання
ДЗ
8 клас
Алгебра
Мерзляк (поглиблене вивчення) 2021 рік
Номер 2.7
Повідомити про помилку
« Назад
Вперед »
Номер 2.3
Номер 2.4
Номер 2.5
Номер 2.6
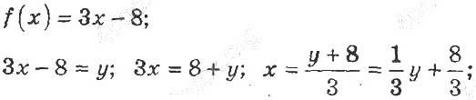
Номер 2.7
Номер 2.8
Номер 2.9
Номер 2.10
Номер 2.11
Повідомити про помилку
×
Текст повідомлення*
Cтoлиця Уkpaїни?*
Надіслати