ПОРТФЕЛЬ
Підручники
Д
омашні
з
авдання
ДЗ
8 клас
Алгебра
Мерзляк (поглиблене вивчення) 2021 рік
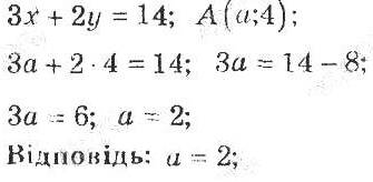
Номер 3.1
Повідомити про помилку
« Назад
Вперед »
Номер 2.38
Номер 2.39
Номер 2.40
Номер 2.41
Номер 3.1
Номер 3.2
Номер 3.3
Номер 3.4
Номер 3.5
Повідомити про помилку
×
Текст повідомлення*
Cтoлиця Уkpaїни?*
Надіслати